移動平均線(MA)是什麼?背後公式的基本概念
移動平均線 Moving Average 縮寫為 MA,是在股票、外匯、加密貨幣市場中最常出現的指標之一,利用平均的計算方式讓曲線更平滑以觀察市場中的主要趨勢方向。
均線的目的在於,當市場價格波動較大時,單一日期的收盤價往往容易與其他日期間相差甚大,此時移動平均線即可取到關鍵作用:
平滑價格波動:將一定期間內的價格取平均,使整體走勢更平順並減少單一極端值的影響。
判斷趨勢方向:當目前價格處於均線上方時則代表處在多頭趨勢中,反之若在均線下方則目前處於空頭趨勢。
移動平均線的種類
移動平均線依權重差異分為三種,將會在後續段落中詳細介紹三種均線的公式與差異。
簡單移動平均線 SMA:所有數據權重相同,不進行調整。
指數移動平均線 EMA:近期價格數據權重較高,反應較快。
加權移動平均線 WMA:按時間進行加權處理,兼顧平滑與靈敏度。
SMA(簡單移動平均線)公式與計算範例
Simple Moving Average 簡稱 SMA,是最基礎、最容易理解的均線,它僅對指定週期內的收盤價除以週期天數求得平均,並未進行任何加權處理。

其中:
P1,P2 至 Pn 為每一天的收盤價
n 為週期天數,如 5、10、20 天
SMA 實盤案例計算
觀察標普 500 在 2024 年 12 月 19 日至 12 月 26 日中的五個交易日中可以看到以下數據,接著再將數據依公式計算即可求得 SMA 5 的數值。
日期收盤價12/195867.0712/205930.8412/235974.0812/246040.0512/266037.58
而將以上收盤價加總並除以時間週期 5 即可求得 SMA 5=5969.92,與圖上 SMA 均線指標呈現數字相同。

EMA(指數移動平均線)公式與權重解釋
Exponential Moving Average 簡稱 EMA,是在 SMA 的基礎上進一步改良的版本,主要目的是讓近期價格更容易影響均線的曲線,進而提升均線針對行情變化的反應速度,白話文來說,在 EMA 中新的價格會比舊的價格更有影響力,計算的權重也會較高。

其中:
Pt 為當前的收盤價
EMAt-1 為前一天的 EMA 值
K 為平滑係數,計算公式:K=2/n+1,n 同樣為時間週期
EMA 實盤案例計算
同樣以標普 500 在 2024 年 12 月 26 日的交易日作為範例並計算當天的 EMA 數值,目前已知當日收盤價為 6037.58、前一日 EMA 為 5983.51,n 為 5。
套入公式:6037.58*(2/6)+5983.51*(1-2/6)=6001.53

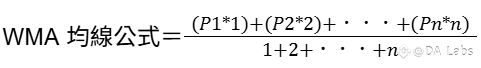
WMA(加權移動平均線)公式與特色
Weighted Moving Average 簡稱 WMA,是介於 SMA 與 EMA 之間的均線計算方式。WMA 同樣會取一個時間週期內的收盤價進行加權,但不同於 SMA、EMA 的地方在於 WMA 透過線性權重的方式兼顧即時、穩定性。

其中的 P 及 n 與 SMA 相同皆為收盤價及時間週期,而分子則是為了使權重依時間遞增,最新一期權重最大。
WMA 實盤案例計算
採用與 SMA 中同樣的標普 500 時間段進行計算求得 12 月 26 日的 WMA 5 數值,交易日收盤數據如下。
日期收盤價權重12/195867.07112/205930.84212/235974.08312/246040.05412/266037.585
依據公式並套用數字後的方程式為:(5867.07*1+5930.84*2+...+6037.58*5)/(1+2+...+5)=5999.94,與圖中 WMA 5 均線數值相同。

SMA、EMA、WMA 三種均線差異比較
雖然 SMA、EMA、WMA 都屬於均線的一種,但它們每個資料間的占比權重卻不盡相同,因此在使用上仍有各自的優缺點及適用場景。
SMAEMAWMA權重分配均等權重指數遞減線性遞減反應速度最慢最快適中優點平滑效果好適合觀察中長線趨勢反應靈敏最快捕捉趨勢反轉能有效兼顧靈敏性及過濾雜訊缺點延遲較久不易觀察短期趨勢變化針對短期訊號過於靈敏易出現假訊號誤導仍易受短期波動干擾適用場景中長線交易(如 SMA 20、60)短線交易、波段趨勢轉折短至中期交易
該使用哪一種均線指標?
在斷定哪種均線指標適合你之前,不彷優先考量自己屬於何種交易者,是偏好長期持有現貨資產的持有者,還是中短線合約的投資者,又或是操作小時區的交易者?
長線持有者
對於不頻繁換倉的持有者而言,可以使用 SMA 50/100/200 均線指標進行輔助判斷,原因在於 SMA 能有效過濾短期雜訊,進而達到真正反應長期趨勢的效果。
投資者可以利用目前價位處於 SMA 的上/下方判斷目前處於多頭/空頭占優的市場並進行合理的加減倉操作。
波段/中短線交易者
針對偶爾但不頻繁的交易者而言,可以利用較長的 EMA、WMA 進行輔助判斷,EMA 較靈敏的特性能有效提升訊號出現的頻率,而 WMA 在比 SMA 靈敏的同時仍保留較穩定的特性。
交易者可以透過同時開啟 EMA、WMA 兩種均線指標組合成交易策略,並利用較為靈敏的 EMA 作為進場依據,而較穩定的 WMA 則視為趨勢判斷的工具。
日內/小時區交易者
而偏好短線交易的用戶則可以利用 EMA 快速反應市場變化的特性進行交易,不過在小級別中的短線 EMA 特別容易出現假訊號誤導交易者,因此仍建議搭配 MWA 甚至 SMA 進行輔助判斷,亦或是利用 MACD、RSI 等指標進行多重過濾。
常見問題
多種 MA 可以同時使用嗎?
可以,且同時開啟多條均線是常見的策略,透過 SMA、EMA、WMA 的交叉使用能有效彌補各次存在的缺點。
為什麼不同平台的 EMA 結果不一樣?
常見原因在於初始值資料不同,例如各平台間的收盤價可能略有差異,經由均線公式計算後則可能導致最終計算結果略有差異。
SMA、EMA、WMA 哪一種最準確?
若單論訊號準確度的話,最延遲的 SMA 訊號將最準確,但這並不代表 SMA 優於 EMA 及 WMA,仍需要看個人的交易習慣而定。
為什麼 MA 常常顯示延遲訊號?
均線的本質在於將歷史價格平均化,因此必定落後於現價,其中又以 SMA 延遲最為嚴重,若想將延遲訊號降至最低則可以考慮開啟 EMA 指標進行輔助觀察。
小結
均線 MA 作為最普遍的技術指標之一,其重點在於化繁為簡,透過將雜亂的訊號轉換為一條清晰地曲線能有效幫助投資者判斷目前市場趨勢。而 SMA、EMA、WMA 透過三種不同的權重處理方式區分各自的優缺點,方便投資者依據自身需求進行搭配使用。
本報告僅供資訊分享之用,內容不構成任何形式的投資建議或決策依據。文中所引用的數據、分析與觀點均基於作者的研究與公開來源,可能存在不確定性或隨時變動的情況。讀者應根據自身情況及風險承受能力,審慎進行投資判斷。如需進一步指導,建議尋求專業顧問意見。